
成果简介
近日,tyc太阳成集团9728高常飞教授团队在Chemical Engineering Journal(影响因子16.744)上发表了题为“T-mode adsorption and photoelectrocatalysis degradation for acyclovir on CuMn2O4@WO3/g-C3N4electrode”的研究论文(DOI:https://doi.org/10.1016/j.cej.2023.142577),探究了CuMn2O4@WO3/g-C3N4电极对阿昔洛韦的T型吸附及光电催化降解作用。开发了一种新型的CuMn2O4@WO3/g-C3N4((CMNW)CN)电极,以CuMn2O4(CMO)为电催化电极,WO3/g-C3N4(WCN)为光催化电极,在光-生物电芬顿(PBEF)系统中实现对阿昔洛韦的光催化降解。研究了(CMNW)CN电极的电化学性能、表面形貌和光催化活性,显示出良好的氧化还原性能和高效的电子转移效率。密度函数理论(DFT)计算证实,CMO电极通过独特的T模式吸附过硫酸盐(PMS),提高了(CMNW)CN电极的电子转移的能力,并能够加速自由基的产生。30分钟后阿昔洛韦在PBEF中的降解效率达到100%,并具有较高的循环稳定性。这项工作为实现阿昔洛韦光电催化降解提供了新方法,特别是PBEF降解的无毒废水证明了药物的绿色环保降解过程。
引言
抗病毒药物被广泛用于治疗人类和动物的流感、疱疹或肝炎。作为一种有效的抗病毒药物,阿昔洛韦的生物利用率很低(只有10%-20%),导致其在自然水体中的残留量至少为ng/L,在制药废水中的残留量则更高,达到mg/L。尽管阿昔洛韦等抗病毒药物在环境中的浓度是微量的,但它们在自然水体中的持续释放可能会对周围的生物体造成风险。抗病毒药物在环境中的存在会导致潜在的生态系统和病毒抗性的改变。高级氧化工艺(AOP)是一种利用高活性的自由基来降解难降解的污染物的技术。为了探索一种更高效、更低成本的降解阿昔洛韦的方法,本实验将微生物燃料电池(MFC)和阴极电芬顿工艺结合起来,再加上光催化技术来降解阿昔洛韦废水。MFC通过消耗有机物产生电子,在阳极产生的电子通过外导体传输到阴极。MFC阴极的电子将Mn3+、Cu2+和O2还原成Mn2+、Cu+和H2O2,从而引发生物电芬顿(BEF)反应,产生自由基离子。然而,H2O2的生产效率较低,处理污染物所需的时间较长,因此我们将BEF系统与光催化技术相结合,形成了光生物电芬顿(PBEF)系统。以太阳辐射为能源的光催化反应具有很高的氧化还原性能,可以显著提高羟基自由基(•OH)的产量,提高阿昔洛韦的降解效率。与•OH相比,硫酸(SO4•-)是由过氧单硫酸盐(PMS)激活产生的,具有更高的氧化电位(2.5-3.1V)和更长的半衰期(30-40秒),这引起了科学家的广泛兴趣。PMS可以通过光照射、超声波、电解、加热等方式激活,但这些都是有限的高成本和低效率。与这些方法相比,使用过渡金属氧化物作为催化剂来活化PMS更加有效和方便。特别是尖晶石型CuMn2O4(CMO)表现出高催化活性和良好的催化稳定性。这是因为这种双金属氧化物可以在不同的金属离子之间提供非常活跃的界面,并使这种离子保持在同一晶体结构中。在这个实验中,CMO被用作催化剂,并以不锈钢网(SS)为基底,制备了一个电催化电极。石墨氮化碳(g-C3N4)可以利用可见光来激活PMS。由于PMS的半导体性质,它可以利用可见光产生空穴(h+)和超氧自由基(O2•-)来分解有机物。此外,光催化系统中的光生电子(e-)可以参与PMS的激活,以协助氧化性物种的产生。WO3具有良好的化学稳定性、可见光吸附性和无毒的特性。因此,我们将WO3与g-C3N4(WCN)结合起来,形成了一种高效且有前景的处理废水的光催化剂材料。
图文导读

通过SEM和EDS对CMO电极和WCN电极的表面形态和元素组成进行了表征。CMO电极和WCN电极表面的催化剂均匀地分布在电极表面,这可以有效地提供许多活性点。、

为了确定CMO电极和WCN电极的晶体结构,我们进行了X射线衍射(XRD)研究。这些证明了在WCN电极上成功合成了WO3和g-C3N4光催化剂。根据XRD图谱和Scherer公式=计算晶体尺寸,CMO和WCN电极的平均晶体尺寸分别为25.91纳米和52.77纳米。拉曼测试进一步评估了WCN和CMO电极上的催化剂颗粒的结晶度。CMO电极的拉曼光谱显示了550和650cm-1之间的独特峰值,这被归因于MnO6振动单元的对称拉伸模式。在制备CMO电极的过程中,还涉及到Cu和Mn氧化物的合成。观察到Cu2O的特征峰在219 cm-1和503 cm-1,Mn2O3和CuO的特征峰分别在285 cm-1和404 cm-1。这些证明了CuMn2O4尖晶石的成功合成。WO3的拉曼光谱在309 cm-1、810 cm-1和926 cm-1处含有三个主要的拉曼带,分别对应于W-O-W键的弯曲模式(δs)、W-O的不对称拉伸模式(νas)和W-O的对称拉伸模式(νs)。由于其荧光特性,g-C3N4的峰值很难在拉曼光谱中被发现。

为了进一步比较(CMNW)CN电极的电化学性能,进行了循环伏安法(CV)、线性扫描伏安法(LSV)、旋转环盘电极(RRDE)、电化学阻抗谱(EIS)和Tafel试验。电化学分析实验表明,在光照条件下,(CMNW)CN电极具有较高的氧化还原电流、较低的电荷转移电阻、较大的i0、更容易发生氧化还原反应、较强的电化学活性。

将制备的CMO电催化电极与WCN光催化电极组成(CMNW)CN电极,构建PBEF体系去除废水中的阿昔洛韦抗病毒药物。以阿昔洛韦为目标污染物,对初始溶液pH值、初始溶液中PMS添加量、不同电极类型、操作条件差异等操作条件进行了对比研究。

在反应前后,利用CMO电极和WCN电极的XPS光谱研究了反应降解过程。可以看出,反应前后各元素在CMO电极上特征峰的相对位置变化不大,然而,这些元素的百分比各不相同。CMO电极上的部分Cu+参与了催化反应,并转化为Cu2+,Mn2+的相对浓度下降,而Mn3+的相对浓度上升。晶格氧和表面氧相对数量的变化表明氧原子参与了这一过程,并负责原子的重组。反应前CMO电极中OLatt相对浓度较大是由于晶格膨胀或变形,产生了更多的缺陷,有利于氧空位和表面羟基的形成。反应后的CMO电极中OLatt的相对浓度降低。反应后的WCN电极表面羟基含量降低,过氧化氢含量增加,证明WCN表面发生了氧还原反应,生成了过氧化氢等物质。

通过自由基淬灭实验研究了PBEF体系中降解阿昔洛韦的活性物质。实验得出SO4•-和•OH是起到主要的自由基,而与•OH相比,SO4•-在分解过程中发挥的作用要大得多。通过Kubelka-Munk函数计算,反应前后WCN电极的带隙能量(Eg)分别为2.83 eV和2.91 eV。用XPS VB光谱法进一步揭示反应前后WCN电极的价带(VB)位置分别位于2.61 eV和2.65 eV。它们的导带(CB)边缘电位根据公式CB=VB-Eg计算,反应前后WCN的CB分别为-0.22 eV和-0.26 eV。当可见光照射在WCN电极上时,由其VB产生的光电子迅速移动到掺杂能级,随后移动到电位明显较低的CB,在VB上留下空穴。由于CB电子的电位(-0.22 eV)比WCN电极上O2的还原电位(E0(O2/O2•-)=-0.18 eV vs, NHE)更负,CB中的电子能够将水中的氧转化为O2•-。VB的氧化还原电位比表面吸附H2O/OH-到•OH(E0(H2O/•OH)=2.38 eV vs. NHE,E0(OH-/•OH)=1.99 eV vs. NHE)高2.61 eV,也比H2O2的典型还原电位(H2O2/•OH= 0.80 V vs. NHE)更负。这些空穴可以直接参与阿昔洛韦的催化氧化作用。第二,某些光生电子和空穴可能被PMS捕获,产生SO4•-和•OH自由基。在PBEF系统的作用下,(CMNW)CN电极不仅可以产生大量的自由基,在光催化作用下有效降解阿昔洛韦污染物,系统产生的生物电也可以有效转移到(CMNW)CN电极上,并在电极表面发生电化学反应。分别用CMO电极、WCN电极和(CMNW)CN电极作为阴极,并测试了PBEF系统的自发电性能。实验得出,(CMNW)CN电极更大的开路电压和功率密度也证明了(CMNW)CN电极可以更有效地与电解质中的电子受体结合,这些发现与之前描述的电化学测试结果是一致的。(CMNW)CN电极的引入有利于PBEF系统提高电子转移率,进一步提高阳极微生物的发电率,从而提升系统的功率密度。

用液相色谱质谱仪(LC-MS)检测阿昔洛韦降解过程中产生的中间产物,详细地介绍了阿昔洛韦三种可能的降解途径。

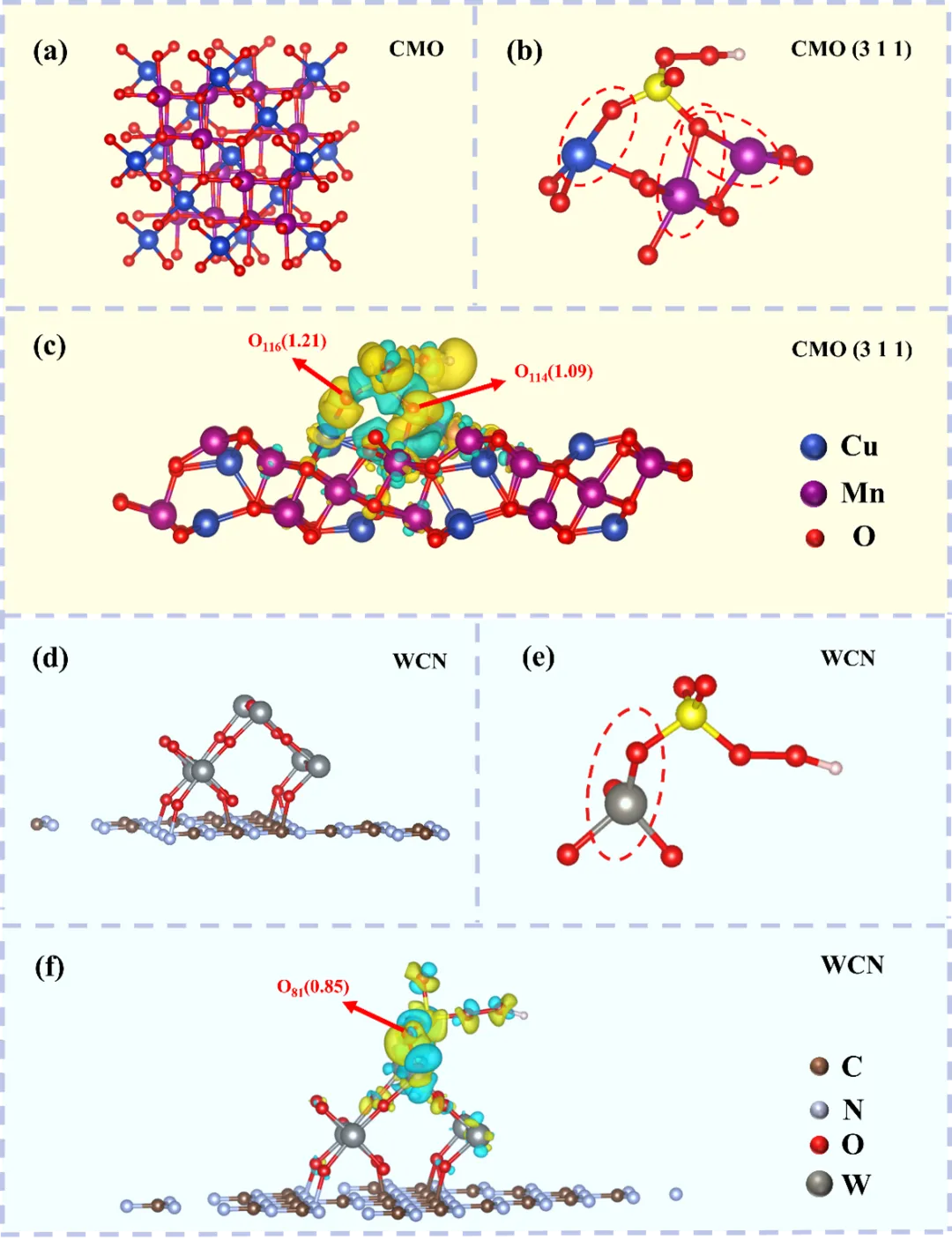
DFT计算被用来进一步了解(CMNW)CN电极和PMS活化机制的协同作用机制。WO3/g-C3N4在加入PMS后通过 "末端连接模式 "吸附PMS分子,只有一个W活性位点与O原子接触。而CuMn2O4能够通过"T "形的方式吸附PMS分子。PMS分子中的一个O原子与Cu位点接触,另一个O原子也与两个Mn位点接触,从而对PMS产生了吸附作用。CuMn2O4对PMS分子的吸附呈现出一个 "T "形结构。Bader电荷结果还进一步证明,"T "型吸附模式不仅增强了电极表面到PMS的电子转移,而且还大大增强了CMO电极的吸附效果。这促进了PMS中O-O键的裂解,这对PMS的活化更为有利。在可见光照射下,从VB产生的光电子迅速移动到掺杂能级,随后在低电位下迁移到CB能级,并在VB电位处留下空穴。在光照条件下,CB中的电子可以将水中的氧气转化为O2•-,并将PMS溶解在水中的HSO5•-离子氧化为SO4•-和SO42•-。WCN电极的VB电位较高,在该电位下可以将吸附在电极表面的H2O/OH-和反应器中氧还原产生的H2O2转化为•OH,还可以将PMS氧化为SO5•-。WCN电极在光照下产生的光电子和空穴直接激活了溶液中的H2O2、PMS、H2O/OH-和O2,产生自由基离子。另一部分被转移到CMO电极,其中的Mn和Cu离子作为电子接受体和空穴接受体。CMO电极作为一个电催化电极具有良好的氧化还原能力,通过在Cu+和Mn2+的表面上吸附PMS和H2O2,可以形成自由基SO4•-、SO5•-、•HO2、•O2-和•OH。从反应器阳极产生的电子和从WCN电极转移的光电子可以被CMO电极利用,将氧化的Cu2+和Mn3+还原成Cu+和Mn2+。这种电子之间的循环再生不仅使CMO电极上的氧化还原反应更容易发生,也促进了WCN电极上光激发的光电子-空穴对的分离,更确保了(CMNW)CN电极能够进行连续的循环催化反应。

为了研究中间体在PBEF系统耦合(CMNW)CN电极降解阿昔洛韦的毒性,使用大肠杆菌进行了圆盘扩散实验。实验表明,PBEF体系耦合(CMNW)CN电极在降解阿昔洛韦过程中不产生有毒中间体。并通过循环实验证明了(CMNW)CN电极的可重用性。经10次循环后,仍保持良好的阿昔洛韦降解效率。
小结
在这项研究中,我们制备了具有改进的电化学和光学性能的CMO电极和WCN电极,形成(CMNW)CN电极,并与光生物电芬顿系统(PBEF)一起用于阿昔洛韦废水的降解。在对电极、PMS浓度、pH值和操作条件进行优化后,PBEF系统在30分钟内完全去除废水中的阿昔洛韦。研究了双电极各自和相互的协同机制、PMS的吸附机制和自由基氧化机制。CMO电极通过 "T "模式--一种新的三重金属离子吸附模式吸附PMS,增加了电子传输的次数,更有利于PMS的活化。在光的作用下,WCN电极实现了更有效的电荷分离和迁移,更容易发生氧化还原反应。对阿昔洛韦的降解过程和降解过程中形成的中间化合物的毒性进行了分析。循环实验表明,该系统可以重复降解阿昔洛韦废水,并进行多次循环。该实验提出了一种更绿色、更环保、更节能的处理药物废水污染的新方法。
作者介绍

刘雨婷硕士研究生,现就读于tyc太阳成集团9728环境与材料工程学院。研究方向主要为高级氧化技术及环境电化学技术降解有机废水。以第一作者身份在Separation and Purification Technology,Chemical Engineering Journal期刊上发表SCI论文两篇。曾获得tyc太阳成集团9728二等学业奖学金、优秀研究生等荣誉。

高常飞硕士生导师,tyc太阳成集团9728环境与材料工程学院教授。长期从事环境工程技术研发、水污染特种功能膜研制、非贵金属催化剂制备及多联耦合工艺集成技术等方面的研究,作为项目负责人先后承担了环境保护部环保专项、辽宁省环保专项、山东省重大科技创新项目、扬州佳境科技有限公司科技开发项目等10余项纵向及横向项目。在纯水制备、废水处理、固废处置、环境监测、污染物分析与控制、膜材料研发、水处理耦合集成技术成套设备及单体设备开发等方面取得多项成果,科研成果已在企业工程项目中实现技术成果转化。